Équations du second degré: Inéquations du second degré
Inéquations du second degré
Tout comme des inéquations du premier degré, nous pouvons considérer des inéquations du second degré. Nous allons d'abord voir comment résoudre une inéquation du second degré.
Nous résolvons l'inéquation #\blue{2x^2+4x+3} \gt \green{-x^2-2x+6}#.
| Étape 1 |
Nous résolvons d'abord l'équation #\blue{2x^2+4x+3} = \green{-x^2-2x+6}#. Ainsi, nous réduisons l'équation à #0#. \[\begin{array}{rcl}2x^2+4x+3&=&-x^2-2x+6 \\ &&\phantom{xx}\blue{\text{équation à résoudre}}\\ 3x^2+6x-3 &=&0 \\ &&\phantom{xx}\blue{\text{réduction à }0} \end{array}\] Nous appliquons la formule quadratique après avoir identifié les coefficients #a#, #b# et #c#. \[a=3, b=6 \text{ et } c=-3\] Nous calculons le discriminant. \[D=6^2-4 \cdot 3 \cdot -3 =72\] Ensuite, nous déterminons les solutions. \[x=\frac{-6-\sqrt{72}}{2\cdot 3} \lor x=\frac{-6+\sqrt{72}}{2\cdot 3} \] Nous vérifions si nous pouvons simplifier les solutions trouvées. \[x=-1- \sqrt{2} \lor x=-1+ \sqrt{2} \] |
| Étape 2 |
Nous traçons les graphes de #y=\blue{2x^2+4x+3}# et de #y=\green{-x^2-2x+6}#. Les points d'intersection sont tracés en orange. ![]() |
| Étape 3 |
Nous déterminons la solution de l'inéquation en utilisant les résultats des étapes 1 et 2. À gauche de #x=-1-\sqrt{2}# et à droite de #x=-1+\sqrt{2}#, le graphe de #y=\blue{2x^2+4x+3}# est au-dessus du graphe de #y=\green{-x^2-2x+6}#. Ainsi, la solution est #x \lt -1-\sqrt{2} \lor x \gt -1+\sqrt{2}#. |
En général, nous pouvons appliquer la procédure suivante.
Résolution d'une équation du second degré
| Procédure | ||
| Nous résolvons l'inéquation #\blue{a_1 x^2+b_1x+c_1} \gt \green{a_2x^2+b_2x+c_2}#, avec #a_1 \ne 0#. |
![]() |
|
| Étape 1 | Nous résolvons d'abord l'équation \[\blue{a_1 x^2+b_1x+c_1} = \green{a_2x^2+b_2x+c_2}\] | |
| Étape 2 | Nous traçons les graphes de #y=\blue{a_1 x^2+b_1x+c_1}# et de #y=\green{a_2x^2+b_2x+c_2}#. | |
| Étape 3 | Nous déterminons à l'aide des résultats des étapes 1 et 2, les valeurs de #x# pour lesquelles l'inéquation est vraie. Ici, nous regardons dans le graphique, les parties où le premier graphe est au-dessus du second graphe. |
Notez que cette procédure est également valable pour le signe d'inégalité #\geq#. Alors les valeurs #x# des points d'intersection font également partie de la solution.
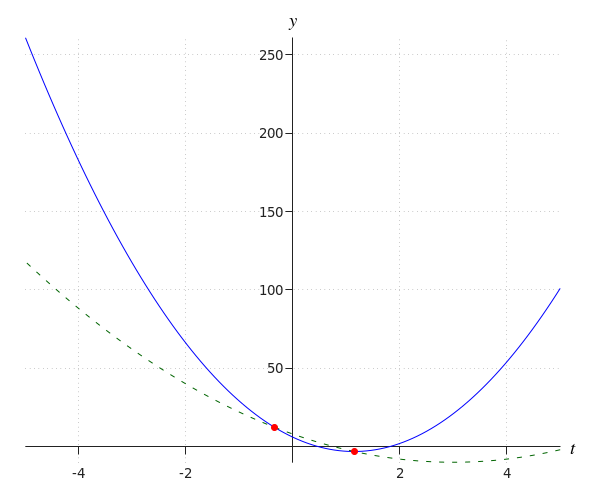
| Étape 1 | Nous résolvons l'équation #7\cdot t^2-16\cdot t+6=2\cdot t^2-12\cdot t+8#. \[\begin{array}{rcl} 7\cdot t^2-16\cdot t+6 &=& 2\cdot t^2-12\cdot t+8\\ &&\phantom{xxx}\blue{\text{équation à résoudre}}\\ 5\cdot t^2-4\cdot t-2&=&0\\ &&\phantom{xxx}\blue{\text{termes mis dans le membre de gauche}}\\ \text{discriminant } &=& b^2-4ac \\ &&\phantom{xxx}\blue{\text{formule du discriminant}}\\ &=& \left(-4\right)^2 - 4 \cdot 5 \cdot \left(-2\right) \\&&\phantom{xxx}\blue{\text{substitution de la formule}}\\ &=& 56\\&&\phantom{xxx}\blue{\text{calculs effectués}}\\ \text{nombre de solutions } &=& 2\\&&\phantom{xxx}\blue{\text{comme le discriminant est plus grand que }0}\\ t=\frac{-b-\sqrt{D}}{2 \cdot a} &\lor& t=\frac{-b+\sqrt{D}}{2 \cdot a} \\&&\phantom{xxx}\blue{\text{formule quadratique}}\\ t={{2-\sqrt{14}}\over{5}}&\lor& t={{\sqrt{14}+2}\over{5}} \\&&\phantom{xxx}\blue{\text{calculs effectués}}\\ \end{array}\] |
| Étape 2 | Nous traçons le graphe de #y=7\cdot t^2-16\cdot t+6# (bleu) et de #y=2\cdot t^2-12\cdot t+8# (vert). ![]() |
| Étape 3 | Nous déterminons les solutions de l'inéquation par lecture graphique. \[t\lt {{2-\sqrt{14}}\over{5}}\lor t\gt {{\sqrt{14}+2}\over{5}}\] |



